Informasi PBJ Rp 62 Miliar Belanja Jalan “Digelapkan”
Disebabkan Kepala Dinas PUBMTR Provinsi Sumatera Selatan kurang optimal melakukan pengawasan dan pengendalian atas pelaksanaan pekerjaan dilingkungan kerjanya, sebanyak 36 paket pekerjaan belanja modal Jalan, Jaringan dan Irigasi tahun anggaran 2024 menjadi korban kekurangan volume sebesar Rp 4.717.113.953,2.
Palembang, detektifswasta.xyz – Pemerintah Provinsi Sumatera Selatan pada tahun anggaran 2024 menganggarkan Belanja Modal Jalan, Jaringan, dan Irigasi sebesar Rp 751.874.329.402 dan telah terealisasi sebesar Rp 699.678.989.706 atau sebesar 93,06%. Realisasi tersebut diantaranya pada Dinas Pekerjaan Umum Bina Marga dan Tata Ruang (PUBMTR) sebesar Rp 667.443.243.328,-.
Dalam Laporan Hasil Pemeriksaan Badan Pemeriksa Keuangan Republik Indonesia (LHP BPK RI) atas Sistem Pengendalian Intern dan Kepatuhan terhadap Peraturan perundang-undangan Pemerintah Provinsi Sumatera Selatan Tahun 2024 No. 51.B/LHP/XVIII.PLG/05/2025 tanggal 25 Mei 2025 dipaparkan, berdasarkan dokumen kontrak dan pemeriksaan fisik secara uji petik atas 36 paket pekerjaan yang dilaksanakan bersama KPA selaku PPK, PPTK, Penyedia, Konsultan Pengawas serta didampingi Inspektorat Provinsi Sumsel ditemukan kekurangan volume atas 36 paket pekerjaan Belanja Modal Jalan, Jaringan, dan irigasi sebesar Rp 4.717.113.953,27. Adapun 36 paket dimaksud diantaranya :
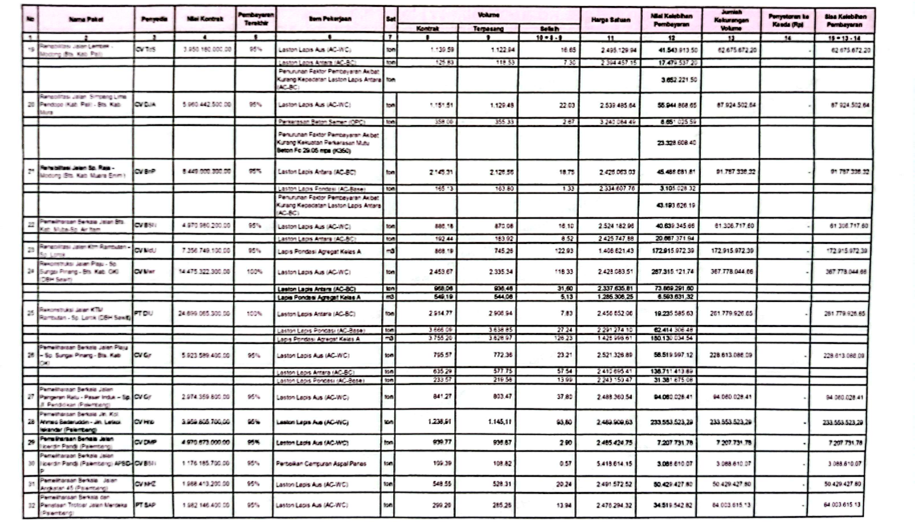
- Pemeliharaan Berkala Jalan Tebing Tinggi – Pendopo (Kab. Empat Lawang), penyedia CV. Hkm nilai kontrak Rp 11.930.200.000,-, kekurangan volume/kelebihan pembayaran sebesar Rp 518.046.861,-
- Pemeliharaan Berkala Jalan Tebing Tinggi – Tanjung Raya, penyedia CV. Hkm nilai kontrak Rp 5.970.545.000,-, kekurangan volume/kelebihan pembayaran Rp 216.403.595,-
- Rekonstruksi Jalan Plaju – Sp. Sungai Pinang – Bts. Kab. OKI (DBH Sawit), penyedia CV. Mwr nilai kontrak Rp 14.475.322.300,-, kekurangan volume/kelebihan pembayaran Rp 387.778.044,-
- Rekonstruksi Jl. KTM Rambutan – Sp. Lorok (DBH Sawit), penyedia PT. DiU nilai kontrak Rp 24.699.065.300,-, kekurangan volume/kelebihan pembayaran Rp 261.779.926,-
- Rehab Jl. KTM Rambutan – Sp. Lorok, penyedia CV. Mdu nilai kontrak Rp 7.358.749.100,-, kekurangan volume/kelebihan pembayaran Rp 172.915.972,-
- Pemeliharaan Berkala Jalan Martapura – Sp. Martapura, penyedia CV. Dja nilai kontrak Rp 4.964.032.300,-, kekurangan volume/kelebihan pembayaran Rp 308.589.388,-
- Rehab Jalan Sp. Sukajadi (Baturaja) – Sp. Lengkiti, penyedia CV. Kik nilai kontrak Rp 5.960.550.600,-, kekurangan volume/kelebihan pembayaran Rp 138.149.335,-
- Rehab Jembatan Cempaka – Trans Sp.1, penyedia PT. Kds nilai kontrak Rp 17.850.962.700,-, kekurangan volume/kelebihan pembayaran Rp 285.412.935,-
- Pemeliharaan Jalan Sp. Periuk – Tugu Mulyo – Terawas, penyedia CV. Tds nilai kontrak Rp 2.957.000.000,-, kekurangan volume/kelebihan pembayaran Rp 102.988.583,-
- Pemeliharaan Berkala Jalan Terawas – Taba Tinggi Maur, penyedia CV. Mwr nilai kontrak Rp 13.734.658.300,-, kekurangan volume/kelebihan pembayaran Rp 101.563.167,-
- Pemeliharaan Berkala Jl. Lettu Karim Kadir (Gandus) – Bts. Kabupaten Banyuasin, penyedia CV. DnM nilai kontrak Rp 4.948.618.600,- kelebihan pembayaran/kekurangan volume sebesar Rp 85.343.942,39
- Pemeliharaan Berkala Jalan Lingkungan Kantor, penyedia CV. BnP nilai kontrak Rp 4.968.522.700,-, kelebihan pembayaran/kekurangan volume sebesar Rp 187.533.178,-
- Pemeliharaan Berkala Jalan Kol. Ahmad Badaruddin – Jl. Letkol Iskandar (Palembang), penyedia CV. Hnb nilai kontrak Rp 3.959.805.700,-, kekurangan volume/kelebihan pembayaran Rp 233.553.523,-
- Pemeliharaan Berkala Jalan Pangeran Ratu – Pasar Induk – Jl. Pendidikan (Palembang), penyedia CV. Gjr nilai kontrak Rp 2.974.359.800,-, kekurangan volume/kelebihan pembayaran Rp 94.060.028,-
- Pemeliharaan Berkala Jalan Plaju – Sp. Sungai Pinang – Bts. Kab. OKI, penyedia CV. Gjr nilai kontrak Rp 5.923.589.400,-, kurang volume/kelebihan pembayaran Rp 228.613.086,-
- Pemeliharaan Berkala Jl. Angkatan 45 (Palembang), penyedia CV. NHZ nilai kontrak Rp 1.988.413.200,-, kekurangan volume/kelebihan pembayaran Rp 50.429.427,-
- Pemeliharaan Berkala dan Penataan Trotoar Jl. Merdeka (Palembang), penyedia PT. SAP nilai kontrak Rp 1.982.146.400,-, kekurangan volume/kelebihan pembayaran Rp 64.003.615,13
- Pemeliharaan Berkala Jl. Brigjen H.M. Dhany Effendy (Palembang), penyedia CV. Nhz nilai kontrak Rp 4.475.384.900,-, kekurangan volume/kelebihan pembayaran rp 72.996.924,-
- Pemeliharaan Berkala Jl. Taqwa Mata Merah (Palembang) – Merah Mata (Bts. Kab. Banyuasin), penyedia CV. Sap nilai kontrak Rp 4.952.016.700,-, kekurangan volume/kelebihan pembayaran Rp 57.847.903,-
- Rekonstruksi Jalan Akses TPI Sungsang (Kab. Banyuasin), penyedia PT. LKS nilai kontrak Rp 21.438.438.600,-, kekurangan volume/kelebihan pembayaran Rp 226.386.989,-
- Rekonstruksi Jalan Ruas Sp. Semambang – Sp. Bangun Jaya (Kab. Musi Rawas) – (DBH Sawit), penyedia PT. Aop nilai kontrak Rp 19.039.000.000,-, kekurangan volume/kelebihan pembayaran Rp 178.180.817,-




Atas kekurangan volume tersebut telah dilakukan pembahasan bersama dengan Penyedia, PPTK dan KPA selaku PPK. Hasil pembahasan kekurangan volume telah dituangkan dalam Berita Acara Kesepakatan Hasil Perhitungan yang diantaranya menyatakan bahwa semua pihak telah mengakui dan sepakat atas perhitungan dan Penyedia bersedia menyetorkan nilai kekurangan volume tersebut ke Kas Daerah.
Namun demikian ada 2 Penyedia pada 3 paket pekerjaan yaitu CV. Gjr dan Hnb tidak bersedia menandatangani berita acara kesepakatn tersebut. Kedua penyedia pada saat pengukuran dan pengujian di lapangan telah menandatangani Berita Acara Pemeriksaan Fisi.
Atas kekurangan volume tersebut, telah ditindaklanjuuti dengan pengembalian ke RKUD Pemprov Sumsel sebesar Rp 36.943.253,- pada tanggal 17 Mei 2025, sehingga masih terdapat kelebihan pembayaran sebesar Rp 4.680.170.700,27.


Kekurangan volume atas 36 paket tersebut tidak sesuai dengan Peraturan Presiden (Perpres) No. 16 tahun 2018 tentang Pengadaan Barang/Jasa Pemerintah sebagaimana telah diubah dengan Perpres No. 12 tahun 2021, pada Pasal 17 ayat (1), Pasal 17 ayat (2), Pasal 27 ayat (6) huruf b, Pasal 57 ayat (2), dan peraturan LKPP No. 12 tahun 2021 tentang Pedoman Pelaksanaan Pengadaan Barang/Jasa Pemerintah Melalui Penyedia, pada Lampiran I poin VII Pelaksanaan Kontrak angka 7.13, serta klausul kontrak masing-masing pekerjaan.
Permasalahan yang telah mengakibatkan kelebihan pembayaran sebesar Rp 4.680.170.700,27 terjadi karena Kepala Dinas PUBTR belum optimal melakukan pengawasan dan pengendalian atas pelaksanaan pekerjaan fisik di lingkungan kerjanya, KPA selaku PPK dan PPTK, Pengawas Lapangan dan Panitia Pemeriksa Hasil Pekerjaan kurang cermat dalam mengawasi, mengendalikan, menerima dan menyetujui pembayaran sesuai tugas dan tanggung jawabnya.
Atas temuan tersebut, BPK merekomendasikan kepada Gubernur Sumsel agar memerintahkan Kepala Dinas PUBMTR untuk memproses kelebihan pembayaran secesar Rp 4.680.170.700,27 sesuai dengan peraturan perundang-undangan dan menyetorkan ke Kas Daerah.
PEMBAYARAN BIAYA LANGSUNG PERSONEL PEKERJAAN JASA KONSULTANSI TIDAK SESUAI KONTRAK
Dalam LHP BPK No. 51.B/LHP/XVIII.PLG/05/2025 tanggal 25 Mei 2025 juga dipaparkan adanya pembayaran Biaya Langsung Personel atas 6 paket Pekerjaan Jasa Konsultansi pada Dinas PUBMTR tidak sesuai kontrak sebesar Rp 505,33 Juta.


Hasil pemeriksaan atas 6 paket belanja jasa konsultansi pada Dinas PUBMTR ditemukan Kelebihan Pembayaran atas Personel yang Waktu Penugasannya Overlap dan tidak sesuai kontrak sebesar Rp 253.293.625,- yakni : Pengawasan Penyelenggaraan Jalan Kewenangan Provinsi Paket 12 sebesar Rp 136.223.750,-, Pengawasan Penyelenggaraan Jalan Kewenangan Provinsi Paket 1 dengan penyedia jasa CV. AC sebesar Rp 67.246.932,-, dan Riview FS Rencana Jalan Pesisir Timur, penyedia jasa CV. DJ sebesar Rp 49.822.943,-.
Kemudian Kelebihan Pembayaran atas Personel yang tidak bekerja sesuai sebesar Rp 114.029.100,- yakni : Pengawasan Penyelenggaraan Jalan Kewenangan Provinsi Paket 4, penyedia CV. BEC sebesar Rp 68.900.100,-, Penyusunan Dokumen Lingkungan Jalan dan Jembatan Provinsi sumsel, penyedia PT. Immk secesar Rp 45.120.000,-, dan Kelebihan pembayaran atas Kualifikasi Personel tidak sesuai dengan persyaratan KAK sebesar Rp 138.009.918,- pada Paket Pengawasan Penyelenggaraan Jalan Kewenangan Provinsi Paket 24 dengan Penyedia PT. RSE.
Atas temuan ini BPK merekomendasikan kepada Gubernur Sumsel agar memerintahkan Kepala Dinas PUBMTR untuk memproses kelebihan pembayaran atas pekerjaan jasa konsultansi sebesar Rp 505,33 Juta dan menyetorkan ke Kas Daerah.
Kepala Dinas PU Bina Marga dan Tata Ruang Provinsi Sumatera Selatan Ir. M. Affandi, ST, M.Sc yang dikonfirmasi melalui surat tanggal 01 Desember 2025 No. 03/Red-DS/W/12/202 terkait Temuan dan Tindak Lanjut LHP BPK RI No. 51.B/LHP/XVIII.PLG/05/2025 tanggal 25 Mei 2025, belum memberikan tanggapan. (tim)





